This page in a nutshell:
The following small "student" steamtables can be conveniently distributed to students in the classroom:
We are in the process of assessing the accuracy of these tables. Students can contribute using a website such as, http://webbook.nist.gov/chemistry/fluid/ , and contributing to Worksheet for evaluating the accuracy of Wikiversity steam table entries
Why these steam tables were created

The purpose of these steam tables is to permit authors to write quizzes on Wikipedia that can be printed out for classroom use. To conserve paper, the tables need to be as small as possible. And, they must possess a CC by SA license in order to be placed on Wikiversity or Wikipedia.[1] It is important to reach a consensus on a canonical set "student" steam tables. Chaos would result if a test bank required different steam tables for different questions. Here is a proposed "student" steam table for superheated vapor:
These steam tables need to be investigated for accuracy
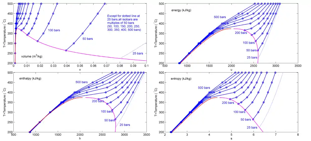
.jpg.webp)
The figure to the left indicates that the MATLAB codes[2] used to generate the Wikiversity steam tables may have flaws. For comparison with the Ohio steam table, visit Superheated (large), which is an attempt to "mirror" the Ohio tables using the MATLAB code. The MATLAB code does not return values at large pressures and temperature, and should be regarded as less reliable.[3] We also need to investigate Saturated temperature (large) and Saturated pressure (large).
Footnotes and references
- Israel Ureli Steam Table is an approximate mirror of Ohio steam tables This is a quasimirror because the MATLAB codes do not exactly match the Ohio tables.
- MATLAB/Engineering_thermodynamics hosts the codes used to construct these tables that are CC by SA and therefore permissible on Wikiversity.
- ↑ For example, the Ohio steam tables are licensed under CC by NC-SA and cannot be used on Wikipedia.
- ↑ http://www.mathworks.com/matlabcentral/fileexchange/9817-x-steam--thermodynamic-properties-of-water-and-steam
- ↑ The matlab code should be regarded as less reliable because the Ohio code has been on an ohio.edu site for quite a while.