N,O-Dimethylhydroxylamine[1]
Structural formula of N,O-dimethylhydroxylamine
Ball-and-stick model of the N,O-dimethylhydroxylamine molecule
Names
Preferred IUPAC name
N-Methoxymethanamine
Other names
Methoxymethylamine; Methylmethoxyamine; HNMeOMe
Identifiers
3D model (JSmol)
ChemSpider
ECHA InfoCard 100.012.960
UNII
  • InChI=1S/C2H7NO/c1-3-4-2/h3H,1-2H3 ☒N
    Key: KRKPYFLIYNGWTE-UHFFFAOYSA-N ☒N
  • InChI=1/C2H7NO/c1-3-4-2/h3H,1-2H3
    Key: KRKPYFLIYNGWTE-UHFFFAOYAP
  • CNOC
Properties
C2H7NO
Molar mass 61.084 g·mol−1
Melting point −97 °C (−143 °F; 176 K)[2]

Hydrochloride salt: 112 to 115 °C (234 to 239 °F; 385 to 388 K)
Boiling point 43.2[2]
Except where otherwise noted, data are given for materials in their standard state (at 25 °C [77 °F], 100 kPa).
☒N verify (what is checkY☒N ?)
Infobox references

N,O-Dimethylhydroxylamine is a methylated hydroxylamine used to form so called 'Weinreb amides' for use in the Weinreb ketone synthesis.[2] It is commercially available as its hydrochloride salt.[1]

Synthesis

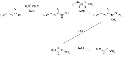
It may be prepared by reacting ethyl chloroformate (or similar) with hydroxylamine followed by treatment with a methylating agent such as dimethyl sulfate. The N,O-dimethylhydroxylamine is then liberated by acid hydrolysis followed by neutralization.[2]

See also

References

  1. 1 2 N,O-Dimethylhydroxylamine hydrochloride at Sigma-Aldrich
  2. 1 2 3 4 Weinreb, Steven M.; Folmer, James J.; Ward, Timothy R.; Georg, Gunda I. (2006). "N,O-Dimethylhydroxylamine". E-EROS Encyclopedia of Reagents for Organic Synthesis. doi:10.1002/047084289X.rd341.pub2. ISBN 0471936235.
This article is issued from Wikipedia. The text is licensed under Creative Commons - Attribution - Sharealike. Additional terms may apply for the media files.