Linomide
Clinical data
ATC code
Pharmacokinetic data
Elimination half-life26-42 hours
Identifiers
  • 4-hydroxy-N,1-dimethyl-2-oxo-N-
    phenyl-1,2-dihydroquinoline-3-carboxamide
CAS Number
PubChem CID
DrugBank
ChemSpider
UNII
KEGG
ChEBI
ChEMBL
CompTox Dashboard (EPA)
ECHA InfoCard100.163.758
Chemical and physical data
FormulaC18H16N2O3
Molar mass308.337 g·mol−1
3D model (JSmol)
  • CN1C2=CC=CC=C2C(=C(C1=O)C(=O)N(C)C3=CC=CC=C3)O
  • InChI=1S/C18H16N2O3/c1-19(12-8-4-3-5-9-12)17(22)15-16(21)13-10-6-7-11-14(13)20(2)18(15)23/h3-11,21H,1-2H3 ☒N
  • Key:SGOOQMRIPALTEL-UHFFFAOYSA-N ☒N
 ☒NcheckY (what is this?)  (verify)

Linomide (Roquinimex) is a quinoline derivative immunostimulant which increases NK cell activity and macrophage cytotoxicity. It also inhibits angiogenesis and reduces the secretion of TNF alpha.

Linomide has been investigated as a treatment for some cancers (including as adjuvant therapy after bone marrow transplantation in acute leukemia) and autoimmune diseases, such as multiple sclerosis[1][2] and recent-onset type I diabetes.[3] Several trials have been terminated due to serious cardiovascular toxicity.

Synthesis

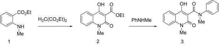
Linomide synthesis:[4]

Ethyl 2-(methylamino)benzoate is condensed with ethyl malonate. Amine-ester interchange of that compound with N-methylaniline results in formation of the amide linomide.

References

  1. Weilbach EX, Hartung HP (August 1996). "[Immune modulation in multiple sclerosis: linomide]". Der Nervenarzt (in German). 67 (8): 701–5. doi:10.1007/s001150050044. PMID 8805117. S2CID 31845910.
  2. Hedlund G, Link H, Zhu J, Xiao BG (June 2001). "Effects of Linomide on immune cells and cytokines inhibit autoimmune pathologies of the central and peripheral nervous system". International Immunopharmacology. 1 (6): 1123–30. doi:10.1016/s1567-5769(01)00041-8. PMID 11407306.
  3. Gross DJ, Weiss L, Reibstein I, Hedlund G, Dahlén E, Rapoport MJ, Slavin S (June 2001). "The immunomodulator Linomide: role in treatment and prevention of autoimmune diabetes mellitus". International Immunopharmacology. 1 (6): 1131–9. doi:10.1016/s1567-5769(01)00042-x. PMID 11407307.
  4. EP 59698, Eriksoo, Edgar; Sandberg, Eva Britt-Marie & Stalhandsk, Lars Johan Torbjörn, "Heterocyclic carboxamides, compositions containing such compounds, processes for their preparation and methods of treatment therewith", published 1982-09-08, assigned to AB Leo; E. Eriksoo et al., U.S. Patent 4,738,971 (1988 to AB Leo).
This article is issued from Wikipedia. The text is licensed under Creative Commons - Attribution - Sharealike. Additional terms may apply for the media files.