Enciprazine
Clinical data
Other namesWY-48624; D-3112
Routes of
administration
Oral
Identifiers
  • 1-[4-(2-Methoxyphenyl)piperazin-1-yl]-3-(3,4,5-trimethoxyphenoxy)propan-2-ol
CAS Number
PubChem CID
ChemSpider
UNII
KEGG
ChEMBL
CompTox Dashboard (EPA)
Chemical and physical data
FormulaC23H32N2O6
Molar mass432.517 g·mol−1
3D model (JSmol)
  • COC1=CC=CC=C1N2CCN(CC2)CC(COC3=CC(=C(C(=C3)OC)OC)OC)O
  • InChI=1S/C23H32N2O6/c1-27-20-8-6-5-7-19(20)25-11-9-24(10-12-25)15-17(26)16-31-18-13-21(28-2)23(30-4)22(14-18)29-3/h5-8,13-14,17,26H,9-12,15-16H2,1-4H3
  • Key:KSQCNASWXSCJTD-UHFFFAOYSA-N

Enciprazine (INN, BAN; enciprazine hydrochloride (USAN); developmental code names WY-48624, D-3112) is an anxiolytic and antipsychotic of the phenylpiperazine class which was never marketed.[1][2][3][4] It shows high affinity for the α1-adrenergic receptor and 5-HT1A receptor, among other sites.[3][5][6] The drug was initially anticipated to produce ortho-methoxyphenylpiperazine (oMeOPP), a serotonin receptor agonist with high affinity for the 5-HT1A receptor, as a significant active metabolite, but subsequent research found this not to be the case.[5]

Synthesis

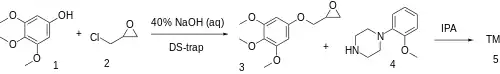
3,4,5-trimethoxyphenol (aka Antiarol) [642-71-7] (1) is alkylated with epichlorohydrin (2) to give [(3,4,5-Trimethoxyphenoxy)methyl]oxirane [74760-14-8] (3). Opening of the epoxide with o-anisyl-piperazine [35386-24-4] (4) completes the synthesis of enciprazine (5).

See also

References

  1. Elks J (14 November 2014). The Dictionary of Drugs: Chemical Data: Chemical Data, Structures and Bibliographies. Springer. pp. 485–. ISBN 978-1-4757-2085-3.
  2. Morton IK, Hall JM (6 December 2012). Concise Dictionary of Pharmacological Agents: Properties and Synonyms. Springer Science & Business Media. pp. 109–. ISBN 978-94-011-4439-1.
  3. 1 2 Matheson GK, Knowles A, Gage D, Michel C, Guthrie D, Bauer C, Blackbourne J, Weinzapfel D (1997). "Modification of hypothalamic-pituitary-adrenocortical activity by serotonergic agents in the rat". Pharmacology. 55 (2): 59–65. doi:10.1159/000139513. PMID 9323305.
  4. "Enciprazine". AdisInsight. Springer Nature Switzerland AG. Retrieved 2017-06-01.
  5. 1 2 Scatina JA, Lockhead SR, Cayen MN, Sisenwine SF (1991). "Metabolic disposition of enciprazine, a non-benzodiazepine anxiolytic drug, in rat, dog and man". Xenobiotica. 21 (12): 1591–604. doi:10.3109/00498259109044408. PMID 1686125.
  6. Linden M, Helmchen H, Müller-Oerlinghausen B (1988). "Early phase-II semi double-blind study of the new alkaline propanolamine derivative enciprazine (short communication)". Arzneimittelforschung. 38 (6): 814–6. PMID 3178922.
  7. Engel J, Jakovlev V, Kleemann A (1981). "Enciprazine". Drugs of the Future. 6 (5): 278. doi:10.1358/dof.1981.006.05.79478.
  8. Engel J, Fleischhauer I, Jakovlev V, Kleemann A, Kutscher B, Nickel B, Rauer H, Werner U, Szelenyi I, Johanson CE (November 1990). "Chemistry and pharmacology of the non-benzodiazepine anxiolytic enciprazine and related compounds". Journal of Medicinal Chemistry. 33 (11): 2976–81. doi:10.1021/jm00173a012. PMID 1977910.
  9. Banoth L, Narayan TK, Banerjee UC (September 2012). "New chemical and chemo-enzymatic routes for the synthesis of (RS)-and (S)-enciprazine". Tetrahedron: Asymmetry. 23 (17): 1272–1278. doi:10.1016/j.tetasy.2012.08.002.
  10. Narsaiah AV, Nagaiah B (August 2010). "A simple and efficient asymmetric synthesis of anxiolytic drug enciprazine". Synthesis. 2010 (16): 2705–2707. doi:10.1055/s-0030-1258173.
This article is issued from Wikipedia. The text is licensed under Creative Commons - Attribution - Sharealike. Additional terms may apply for the media files.