Colestipol
Clinical data
Trade namesColestid, Cholestabyl
AHFS/Drugs.comMonograph
MedlinePlusa682157
Routes of
administration
Oral (suspension or tablets)
ATC code
Legal status
Legal status
Pharmacokinetic data
BioavailabilityNone
ExcretionFaeces, in complex with bile acids
Identifiers
  • Copolymer of bis(2-aminoethyl)amine and 2-(chloromethyl)oxirane
CAS Number
PubChem CID
DrugBank
ChemSpider
  • none
UNII
KEGG
ChEMBL
CompTox Dashboard (EPA)
ECHA InfoCard100.123.044
Chemical and physical data
Formula(C4H10N3)m(C3H6O)n
 ☒NcheckY (what is this?)  (verify)

Colestipol (trade names Colestid, Cholestabyl) is a bile acid sequestrant used to lower blood cholesterol, specifically low-density lipoprotein (LDL).[1][2] It is also used to reduce stool volume and frequency, and in the treatment of chronic diarrhea.[3]

Like cholestyramine, colestipol works in the gut by trapping bile acids and preventing them from being reabsorbed. This leads to decreased enterohepatic recirculation of bile acids, increased synthesis of new bile acids by the liver from cholesterol, decreased liver cholesterol, increased LDL receptor expression, and decreasing LDL in blood.[4]

Side effects

The following notable side effects may occur:[2]

Interactions

Colestipol can bind to a number of drugs and nutrients in the gut and inhibit or delay their absorption. Such substances include:[2]

Contraindications

Colestipol is contraindicated in hypertriglyceridemia (high level of triglycerides in the blood).

Chemistry

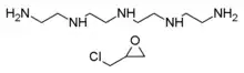
Colestipol is a copolymer of diethylenetriamine (DETA) —or tetraethylenepentamine according to some sources[5][6]— and epichlorohydrin.[7][8] The structure drawing (top right) shows the DETA moieties in blue and the epichlorohydrin moieties in red.

Alternative chemical structure, with tetraethylenepentamine instead of diethylenetriamine; formula (C8H18N5)m(C3H6O)n
The constituent DETA

The constituents tetraethylenepentamine (top) and epichlorohydrin (bottom)

Notes and references

  1. Handelsman Y (May 2011). "Role of bile acid sequestrants in the treatment of type 2 diabetes". Diabetes Care. 34 (Suppl 2): S244-50. doi:10.2337/dc11-s237. PMC 3632187. PMID 21525463.
  2. 1 2 3 "Colestipol Hydrochloride". Drugs.com.
  3. "colestipol (Colestid)". MedicineNet.
  4. Mutschler E, Schäfer-Korting M (2001). Arzneimittelwirkungen (in German) (8th ed.). Stuttgart: Wissenschaftliche Verlagsgesellschaft. p. 523. ISBN 3-8047-1763-2.
  5. "Colestipol structure". Clinical Pharmacology. Archived from the original on 2016-03-04. Retrieved 2012-01-28.
  6. "Colestipol structure". Beth Israel Deaconess Medical Center & Care Group. Archived from the original on 2010-12-29.
  7. Haberfeld H, ed. (2009). Austria-Codex (in German) (2009/2010 ed.). Vienna: Österreichischer Apothekerverlag. ISBN 978-3-85200-196-8.
  8. Steinhilber D, Schubert-Zsilavecz M, Roth HJ (2005). Medizinische Chemie (in German). Stuttgart: Deutscher Apotheker Verlag. p. 433. ISBN 3-7692-3483-9.
This article is issued from Wikipedia. The text is licensed under Creative Commons - Attribution - Sharealike. Additional terms may apply for the media files.