This article was co-authored by wikiHow Staff. Our trained team of editors and researchers validate articles for accuracy and comprehensiveness. wikiHow's Content Management Team carefully monitors the work from our editorial staff to ensure that each article is backed by trusted research and meets our high quality standards.
This article has been viewed 264,303 times.
Learn more...
If you have studied calculus, you undoubtedly learned the power rule to find the derivative of basic functions. However, when the function contains a square root or radical sign, such as , the power rule seems difficult to apply. Using a simple exponent substitution, differentiating this function becomes very straightforward. You can then apply the same substitution and use the chain rule of calculus to differentiate many other functions that include radicals.
Steps
Using the Power Rule
-
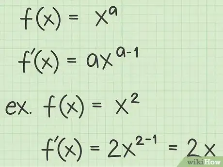
1Review the power rule for derivatives. The first rule you probably learned for finding derivatives is the power rule. This rule says that for a variable raised to any exponent , the derivative is as follows:[1]
- For example, review the following functions and their derivatives:
- If , then
- If , then
- If , then
- If , then
-
2Rewrite the square root as an exponent. To find the derivative of a square root function, you need to remember that the square root of any number or variable can also be written as an exponent. The term below the square root (radical) sign is written as the base, and it is raised to the exponent of 1/2. Consider the following examples:[2]Advertisement
-
3Apply the power rule. If the function is the simplest square root, , apply the power rule as follows to find the derivative:[3]
- (Write the original function.)
-
(Rewrite the radical as an exponent.)
- (Find derivative with the power rule.)
- (Simplify exponent.)
-
4Simplify the result. At this stage, you need to recognize that a negative exponent means to take the reciprocal of what the number would be with the positive exponent. The exponent of means that you will have the square root of the base as the denominator of a fraction.[4]
- Continuing with the square root of x function from above, the derivative can be simplified as:
- Continuing with the square root of x function from above, the derivative can be simplified as:
Using the Chain Rule for Square Root Functions
-
1Review the chain rule for functions. The chain rule is a rule for derivatives that you use when the original function combines a function within another function. The chain rule says that, for two functions and , the derivative of the combination of the two can be found as follows:[5]
- If , then .
-
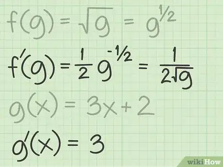
2Define the functions for the chain rule. Using the chain rule requires that you first define the two functions that make up your combined function. For square root functions, the outer function will be the square root function, and the inner function will be whatever appears under the radical sign.[6]
- For example, suppose you wish to find the derivative of . Define the two parts as follows:
- For example, suppose you wish to find the derivative of . Define the two parts as follows:
-
3Find the derivatives of the two functions. To apply the chain rule to the square root of a function, you will first need to find the derivative of the general square root function:[7]
-
- Then find the derivative of the second function:
-
-
4Combine the functions in the chain rule. Recall the chain rule, , and then combine the derivatives as follows:[8]
Using a Shortcut for Derivatives of Radical Functions
-
1Learn the shortcut for derivatives of any radical function. Whenever you wish to find the derivative of the square root of a variable or a function, you can apply a simple pattern. The derivative will always be the derivative of the radicand, divided by double the original square root. Symbolically, this can be shown as:[9]
- If , then
-
2Find the derivative of the radicand. The radicand is the term or function underneath the square root sign. To apply this shortcut, find the derivative of the radicand alone. Consider the following examples:[10]
- In the function , the radicand is . Its derivative is .
- In the function , the radicand is . Its derivative is .
- In the function , the radicand is . Its derivative is .
-
3Write the derivative of the radicand as the numerator of a fraction. The derivative of a radical function will involve a fraction. The numerator of this fraction is the derivative of the radicand. Thus, for the sample functions above, the first part of the derivative will be as follows:[11]
- If , then
- If , then
- If , then
-
4Write the denominator as double the original square root. Using this shortcut, the denominator will be two times the original square root function. Thus, for the three sample functions above, the denominators of the derivatives will be:[12]
- For , then
- If , then
- If , then
-
5Combine numerator and denominator to find the derivative. Put the two halves of the fraction together, and the result will be the derivative of the original function.[13]
- For , then
- If , then
- If , then
Community Q&A
-
QuestionHow do I use the chain rule?
Community AnswerFor the equation in the article title (y = √x), you don't need to use the chain rule, as there is not a function within a function. An example of a function that requires use of the chain rule for differentiation is y = (x^2 + 1)^7. To solve this, make u = x^2 + 1, then substitute this into the original equation so you get y = u^7. Differentiate u = x^2 + 1 with respect to x to get du/dx = 2x and differentiate y = u^7 with respect to u to get dy/du = 7u^6. Multiply dy/du by du/dx to cancel out the du and get dy/dx = 7u^6 * 2x = 14x * u^6. Substitute u = x^2 + 1 into dy/dx = 14x * u^6 to get your answer, which is dy/dx = 14x(x^2 + 1)^6. -
QuestionHow do I differentiate √x-1 using the first principle?
Community AnswerSince the outer function is sqrt(x), you rewrite sqrt(x-1) as (x-1)^(1/2), and differentiating using the power rule gives you 1/2*(x-1)^(1/2-1)=1/2*(x-1)^(-1/2)=1/(2*sqrt(x-1)). You would normally use the chain rule for compositions: the derivative of the inner function, x-1, is 1. 1 multiplying by anything won't change anything, so your answer may be anything equivalent to 1/(2*sqrt(x-1)).
References
- ↑ https://www.mathsisfun.com/calculus/derivatives-rules.html
- ↑ http://www.montereyinstitute.org/courses/DevelopmentalMath/COURSE_TEXT2_RESOURCE/U16_L1_T3_text_final.html
- ↑ https://www.mathsisfun.com/calculus/derivatives-rules.html
- ↑ http://www.mathsisfun.com/algebra/negative-exponents.html
- ↑ https://www.math.ucdavis.edu/~kouba/CalcOneDIRECTORY/chainruledirectory/ChainRule.html
- ↑ https://www.math.ucdavis.edu/~kouba/CalcOneDIRECTORY/chainruledirectory/ChainRule.html
- ↑ https://www.math.ucdavis.edu/~kouba/CalcOneDIRECTORY/chainruledirectory/ChainRule.html
- ↑ https://www.math.ucdavis.edu/~kouba/CalcOneDIRECTORY/chainruledirectory/ChainRule.html
- ↑ http://www.ditutor.com/derivatives/derivative_square.html
About This Article
To differentiate the square root of x using the power rule, rewrite the square root as an exponent, or raise x to the power of 1/2. Find the derivative with the power rule, which says that the inverse function of x is equal to 1/2 times x to the power of a-1, where a is the original exponent. In this case, a is 1/2, so a-1 would equal -1/2. Simplify the result. To use the chain rule to differentiate the square root of x, read on!

























































































































