< Structural Biochemistry

General Information

Metabolism

Metabolism regulates life through a set of chemical reactions. Chemical reactions are often coordinated with each other and occur in sequence called metabolic pathways, each step of which is catalyzed by a specific enzyme. These pathways are categorized according to whether the reactions lead to the breakdown or synthesis of substances. Catabolic reactions result in the breakdown of molecules into smaller molecules. Such reactions are often exergonic. By comparison, anabolic reactions promote the synthesis of larger molecules from smaller molecules. This process usually is endergonic and, in living cells, must be coupled to an exergonic reaction. These processes are responsible for the growth and reproduction of organisms, maintaining their structures, and responding to changes in the environment. The involvement of enzymes is essential for metabolism because they couple the organisms, which are thermodynamically unfavorable, to other organisms which are thermodynamically favorable and drive the metabolism towards desirable reactions. Not only do enzymes drive organisms toward desirable reactions, but they also regulate metabolic pathways to respond to changes within the cell's environment as well as signals from other cells. The metabolism of an organism also establishes which substances which enter the organism are nutritious and beneficial and which are harmful. Additionally, the speed of metabolism, or the metabolic rate, of an organism affects how much food the organism consumes. Prokaryote's metabolism is diverse. In other words, prokaryotes run all the major nutrient cycles. They play a major role in the Sulfur cycle and biological process that affects oxidation states of minerals in the earths crust. Also, the cyanobacteria both invented photosynthesis and still dominate the carbon fixation on this planet. We can also harness energy from redox couples by releasing all at once or releasing gradually (chemical bonds).[1]

In Metabolism, there are something that we need for life. For example, we need a) the energy/reducing equivalents (ATP, NADH, NADPH). Also, we need b) Carbon Skeletons (glucose, glycine, etc...). We also need c) Other minor stuff (NPK, metals, etc...).

About the various Trophs: 1) Chemotroph: is the energy from redox 2) Phototroph: is the energy from light 3) Heterotroph: is the carbon from organic molecule 4) Autotroph: is the carbon fixed from CO2

In metabolism, glycolysis and the TCA cycle can be used just to produce molecules for growth. About Anaerobic Respiration: It is the use of a terminal electron acceptor other than O2. Moreover, the process produce generally less energy than using O2. Also, it can be considered the Redox Tower.

Assimilative Vs. Dissimilative Metabolism: 1) Assimilative Reduction: Compound gets reduced and incorporated into the organism. For example: NO3- becomes amino group -NH2. 2) Dissimilative Reduction: Compound gets reduced as an electron acceptor and is discarded. For example: NO3- becomes amino group -NH2.

Nitrate Reduction and Denitrification: a) Nitrite is one of the most common alternative electron acceptors. b) Denitrification removes nitrogen from systems as gas. Agriculture is bad and sewage is good.

- Nitrate Reduction: Nitrate Reductase is the critical protein for NO3- reduction. Nitrate reductase production is repressed by O2 and activated by NO3-. There are fewer protons are pumped. - Denitrification: Utilizes 4 reductive enzymes. It can start with nitrite from nitrate reduction. Also, the process can produce more energy than nitrate reduction. - Reduction of Various Metals: a) Geobacter metallireducens is a gram-proteobacterium. It can reduce a number of metals by oxidation of organic compounds. For examples, for iron: Fe3+ to Fe2+; for manganese: Mn4+ to Mn2+; for uranium: U6+ to U4+. Fe3+ compounds are much less soluble than Fe2+ iron compounds. U4+ compounds are much less soluble than U6+ compounds.

Chemoautotrophs: - Generate energy (ATP) from oxidation of inorganic compounds. - Carbon fixation of CO2 is by Calvin Cycle (same as plants/cyanobacteria). - Using the Electron Tower, we can predict metabolisms.

Hydrogen Oxidation: - Many bacteria produce H2 as a metabolic byproduct. - The critical enzymes are hydrogenases.

The Phototrophs: a) Photoautotrophs: Use light for energy and CO2 as carbon source. 1) Oxygenic: Oxidize H20 for electrons generating O2. 2) Anoxygenic: Oxidize other compounds for electrons (ie: H2S). b) Photoheterotrophs: Use light for energy and organic carbon as carbon source.

Photosynthetic Pigments: - All phototrophs contain chlorophyll or bacteriochlorophyll. - Each chlorophyll variant has different absorption spectra. - Different pigments allow bacteria to co-exist in one environment. - All chlorophylls have a porphyrin ring with different substitutions.

Accessory Pigments: a) Function: expand light spectrum and photoprotection. b) Main Pigments: Carotenoids and Phycobilins.

Photosynthetic Structures: - The purpose: a) increase surface area for light absorption. b) cluster proteins/pigments for electron transfer. - Bacteria do not have chloroplasts...they are the chloroplast. - Membrane Folds: Highly folded membrane invaginations. - Chlorosomes: Found in green sulfur and non-sulfur bacteria. - Phycobilisomes: Specific to cyanobacteria.

Reference: Slonczewski, Joan L. Microbiology. 2nd ed. New York, 2009.

Hydrothermal Vents: - Chemoautotrophs are the producers of these communities. - Do not require light for survival. - Can require no input from outside organisms.

Acid Mine Drainage (Fe2+ Oxidation): - Fe2+ is stable in acidic water (won't spontaneously oxidize). - Fe2+ gives e- for pumping out cytoplasmic H+. - e- is also used in reverse electron flow to produce NADH.

Anoxygenic photosynthesis: a) Represented Phyla: - Proteobacteria (purple bacteria) - Green sulfur bacteria - Green non-sulfur bacteria - Heliobacteria - Acidobacteria b) Only a single light reaction occurs. c) Electrons are derived from non H2O.

Purple Sulfur Bacteria: - They are gram negative and they are proteobacteria. They use bacteriochlorophyll a and b. They produce visible sulfur granules. They are generally found in anoxic environments. They thrive in H2S rich environments (hot spring).

Oxygenic Photosynthesis: a) Represented Phyla: - Cyanobacteria - Plants b) Electrons flow through two light reactions. c) Electrons are derived from H20.

Cyanobacteria: a) Require oxygen for growth b) Primarily use phycobili-proteins and chlorophyll-a c) Grow in a wide range of environments (some extreme) d) Many species can fix nitrogen

Nitrogen Fixation: a) Groups: - Cyanobacteria - Rhizobia - Green sulfur - Azotobacteria b) Very energy intensive process (16-24 ATP) c) Nitrogenase enzyme is O2 sensitive d) Heterocyst Specific Properties: - No active photosynthesis - Transfer N via Glutamate - Specialized extracellular matrix of glycolipids and polysaccharides - Contain polar bodies to inhibit gas exchange

Storage of Nutrients: a) Bacteria Store Nutrients as Polymers - Low solute concentration - Inert b) Nitrogen Storage - Cyanophycin c) Carbon Storage - Glycogen (starch) - PHB - Oils

Glycogen Metabolism in Cyanobacteria: a) Glycogen functions as a major carbon storage polymer in cyanobacteria. b) The genes glgA and glgP show evidence of transcriptional regulation while GlgC is allosterically regulated. c) Glycogen synthesis and degradation is dirunal in cyanobacteria.

Cyanobacteria as Biofuel Producers: - Nitrogen Fixation - Hydrogen Evolution - Flotation/Motility - Dense Mat Growth - Extremophiles (Temp, ph) - Diverse Secondary Metabolites - Naturally Transformable

Fatty Acid Secretion: - Cyanobacteria do not have thioesterases, they come from plants. - Glycogen synthesis competes with pathways for lipid production.

Reference: Slonczewski, Joan L. Microbiology. 2nd ed. New York, 2009.




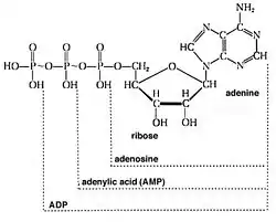
  • ATP
Structure of ATP

During catabolism, useful energy is temporarily conserved as ATP - adenosine triphosphate. ATP is the universal standard of energy exchange in biological systems as the energy is always transformed and conserved as ATP .








  • NAD
Structure of NAD

NAD (Nicotinamide Adenine Dinucleotide)also involves in metabolic pathways. The chemical nature of metabolic pathways usually involves oxidation/reduction reactions. In order for a biochemical to be oxidized, its electrons must be removed by an oxidizing agent. The oxidizing agent is an electron acceptor that gets reduced in the reaction. The molecule that usually functions as the electron carrier in the biochemical oxidation-reduction reactions is NAD and its phosphorylated derivative, NADP. NAD or NADP can become alternately oxidized or reduced by the loss or gain of two electrons. The oxidized form of NAD is symbolized NAD; the reduced form is symbolized as NADH2.

Metabolic pathways are regulated in three general ways:

1.Gene Regulation Because enzymes in every metabolic pathway are encoded by genes, cells can control chemical reactions via gene regulations. For example, if a bacterial cell is not exposed to a particular sugar in its environment, it will turn off the genes that encode the enzymes that are needed to break down the sugar. Alternatively, if the sugar becomes available, the genes are switched on.

2.Cellular Regulation' Metabolism is also coordinated at the cellular level. Cells integrate signals from their environment and adjust their chemical reactions to adapt to those signals. Cell-signaling pathways often lead to the activation of protein kinases that covalently attach phosphate groups to target proteins. For example, when people are frightened, they secrete a hormone called epinephrine into their bloodstream. This hormone binds to the surface of muscle cells and stimulates an intracellular pathway that leads to the phosphorylation of intracellular proteins, including the enzymes involved in carbohydrate metabolism. These activated enzymes promote the supply of energy to the frightened individual. Epinephrine is sometimes called the “fight or flight” hormone because the added energy prepares an individual to either stay and fight or run away. After a person is no longer frightened, hormone levels drop and other enzymes called phosphates remove the phosphate groups from enzymes, thereby restoring the original level of carbohydrate metabolism.

3.Biochemical regulation Metabolic reactions can also be controlled by reactions at the biochemical level. In this case, the binding of a molecule to an enzyme directly regulates its function. Biochemical regulation is typically categorized according to the site where the regulatory molecule binds.

Reference: Biology. Brooker. Widmaier. Graham. Stiling. Chapter Seven, Enzymes and cellular respiration.

Example(s) of Metabolic Pathways

Gluconeogenesis

This metabolic pathway involves the generation of glucose from non-carbohydrate carbon substrates (i.e. lactate, glycerol, and gucogenic amino acids). This is one of two main mechanisms (the other being glycolysis) that the human body uses to keep blood glucose levels from dropping to a dangerously low level, a condition called hypoglycemia. This mechanism isn’t exclusive to humans, and is also present in plants, animals, fungi and other microorganisms, with some variation in the locations in which glucogenesis takes place. This mechanism kicks in during periods of fasting, starvation, or intense exercise and is endergonic. It is also associated with ketosis and has been a target of therapy for Type II Diabetes to inhibit glucose formation and stimulate glucose uptake by cells.

The pathway itself consists of eleven enzyme-catalyzed reactions, which can begin in the mitochondria or cytoplasm (depends on the substrate being used). Many of these steps are the reversible reactions of those found in glycolysis.

•It begins in the mitochondria with the formation of oxaloacetate through carboxylation of pyruvate. This part requires ATP and catalytic help by pyruvate carboxylase, which is stimulated by high levels of acetyl-CoA and inhibited by high levels of ADP.

•Oxaloacetate is then reduced to malate using NADH, which will prepare it for mitochondrial exit. Afterwards, it is oxidiced in the cytoplasm again to oxaloacetate using NAD+, in which the remaining steps of glucogenesis will take place.

•The next step is the decarboxylation and phosphorylation of oxaloacetate to produce phosphoenolpyruvate, which is catalyzed by phosphoenolpyruvate carboxykinase (PEP carboxykinase). This step also hydrolyses one molecule of GTP to GDP.

•The next steps of the reaction are essentially the same as those involved in reversed glycolysis, with the only difference being that fructose-1, 6-bisphosphatase converts fructose-1,60bisphosphate to fructose-6-phosphate. Note that this conversion is the rate limiting step of the whole process of glucogenesis.

•Next, glucose-6-phosphate is formed from fructose 6-phosphate with the help of phophoglucoisomerase. This product can be used in other metabolic pathways or can be further dephosphorylated to make free glucose. Cell control of intracellular glucose levels is attained by the fact that free glucose can diffuse in and out of the cell, whereas the phosphorylated form is locked in the cell. Glucose formation happens in the lumen of the endoplasmic reticulum. Here, glucose-6-phosphate is hydrolyzed by glucose-6-phosphatase to produce glucose, which is then shuttled into the cytosol by glucose transporters located in the membrane of the endoplasmic reticulum.

Relation to Obesity

As the availability of energy-rich food increased, people started to gain more weight by converting excessive energy into body fat. While this kind of environmental factors play a significant role in increasing rate of obesity, lipid based metabolism in the body is also partly in charge of phenomenon.

Diabetes is one of the common metabolic diseases in relation to obesity. There are two types of diabetes:

Type 1 diabetes: Type 1 diabetes is an autoimmune disease which usually starts before 20 years of age. It is caused by destroying insulin-secreting beta cells in the pancreas. Thus, the person with Type 1 needs insulin to stay alive.

Type 2 diabetes: Most people have type 2 diabetes, in which they have a higher level of insulin in their blood (unlike Type 1 diabetics); however, they are unresponsive to a hormone, insulin resistance. Type 2 diabetes is the most common metabolic disease currently. Also, obesity is one of the main factor for developing type 2 diabetes.

Metabolic syndrome

Obesity is one of the main factors to the development of insulin resistance, which leads to type 2 diabetes. The clustering of insulin resistance, hyperglycemia, dyslipidemia is called metabolic syndrome and is presumed to be a precursor of type 2 diabetes.

One of the reasons for obesity is the amount of triacylglycerides one consumes will exceed the adipose tissue's capacity. Thus, other tissues will begin to store the excess fat (usually the liver and muscle)/

The extra fatty acids in the muscles alter metabolism

The mitochondria is not able to process all of the fatty acids by Beta oxidation. Thus, the extra fatty acids accumulate into the mitochondria and eventually go into the cytoplasm. The inability of the mitochondria to process these fatty acids leads to the fatty acids forming into triacylglyverols and then amount of fat increases in the cytoplasm.

Metabolic Linkage Between Diabetes and Cancer

The HBP binds various metabolic inputs to optimally deliver the synthesis of UDPCLcNAc, which is the donor substrate for OGT. Glucose is funneled into the HBP where it will get phosphorylated by the hexokinase to produce glucose 6-phosphate (Glc-6-P) which is then transformed to fructose 6-phosphate (Fruc-6-P) through the presence of phosphoglucose isomerase. During the rate-limiting procedure of the pathway, glutamine:fructose-6-phosphate (GFAT) converts Fruc-6-P into glucosamine 6-phosphate (GlcN-6-O). Enzymatic steps will guide the production of UDP-GLcNAc, which is termed as a negative feedback inhibitor of GFAT. Flux through the HBP and the generation of UDP-GlcNAc and O-GlcNAcylation are greatly affected by the disease states, which include diabetes (indicated by the purple arrows) and cancer (indicated by the teal arrows) through metabolism (glucose= green, amino acid =red, fatty acid = orange, and nucleotide = blue). Resistance of insulin leads to an increase in glucose levels that marks a specific diabetic condition. As a consequence, the increase in glucose will cause HBP to increase HBP flux through the rise of O-GlcNAcylation. Cancer cells require energy, and metabolites are often in excess which can be funneled into the HBP stimulating flux also, precisely glucose, glutamine, and UTP.

O-linked β-N-acetylgluosamine (O-GlcNAc) is a metabolic signaling sugar molecule. More specifically, O-GlcNAc is a post-translational protein modification that is made up of a single N-acetylglucosamine piece, which is attached to an O-β-glycosidic linkage to serine and threonine hydroxyl moieties on nuclear and cytoplasmic proteins. Proteins that contain O-GlcNAc take part in cellular processes such as transcription, translation, signal transduction, and cytoskeletal assembly, along with other functions. Studies have shown that diseases like diabetes and cancer are strongly affiliated with the major alterations in metabolism, which affect the alterations of O-GlcNAcyclation. Such alterations to O-GlcNAcylation interfere with cellular signaling forces and worsen the disease state.

O-GlcNAc signaling is closely associated with cellular metabolism, and ties very closely to phosphorylation due to post-translational modifications that process swiftly in response to internal and external signs. Furthermore, the similarity between O-GlcNAc and phosphorylation is founded in the sugar’s capability to be dynamically connected or detached based on the changed in the cellular environment activated by stress, hormone, or nutrients. Since O-GlcNAc is linked to the serine and threonine residues, the sugar is strictly competing with phosphorylation. Steric hindrance can be encountered when o-GlcNAcylated and phosphorylated residues are in close proximity to each other. O-GlcNAcylation is catalyzed by an enzyme known as uridine diphospho-N-acetylglucosamine (UDP-GlcNAc): polypeptide β-N-acetylglusaminyltransferase (OGT). In most cells, the enzyme OGT dynamically creates many specific holoenzyme proteins complexes that monitor specific activity approaching the myriad of target protein substrates. On the contrary, phosphorylation includes many individual unique kinases. Just like how there are protein phosphatases that detach phosphorylation, there exist a single cytosolic or nuclear β-N-acetylglucosaminidase (OGA) that aim substrates by shaping transient holoenzyme complexes to remove the sugar component.

An important glucosamine, Hexosamine biosynthetic pathway (HBP), which is a prominent precursor in the synthesis of glycosylated proteins, accommodates a collection of metabolic components that are relative to the formation of Uridine diphosphate N-acetylglucosamine (UDP-GlcNAc). To do this, the HBP integrates various metabolic inputs that will essentially deliver the synthesis of UDP-GlcNAc, which is implicitly the donor substrate for OGT. Seemingly, a rise in cellular glucose and flux to a particular level of concentration via HBP will increase UDP-GlcNAc levels to a certain degree. Slight increases in UDP-GlcNAc concentration will suffice O-GlcNAc to function as a nutrient sensor. This is due to the unique responsive property of O-GlcNAc transferase to UDP-GlcNAc concentrations. Rising levels of flux via the HBP causes a resistance for insulin. Flux through the HBP, which leads to the production of UDP-GLcNAc and O-GlcNAcylation are influenced by diseases like diabetes and cancer through metabolic effects. Studies have proven that O-GlcNAcylation play a strict role in insulin signaling. When there is O-GlcNAc and OGT that disrupt insulin signaling, the antipodal of decreased O-GlcNAcylation and O-GlcNAcase stimulate proper insulin signaling. Under specific diabetic conditions, such low levels of O-GlcNAcylation are advantageous in the sense it relieves hepatic insulin resistance and saves the diabetic cardiomyocytes functionality.

Much clarity is needed to gain a better understanding of O-GlcNAc signaling. For instance, uncertainty in the approach of how OGT and OGA target their substrates remains a struggle in fully grasping the mechanistic abilities of this specific metabolic signaling molecule. Development in such research can unravel metabolic diseases like diabetes and cancer.

Biochemicals

Amino acids, carbohydrates, and lipids are essential for life; therefore, metabolism focuses on the production of these molecules during the creation of cells and tissues, and the digestion and use of them when they are broken down and used as a provider of energy.

Amino Acids/Proteins

When amino acids arrange themselves as a linear chain joined together by peptide bonds, proteins are formed. Many proteins are enzymes that catalyze the chemical reactions involved metabolism.

The name protein came from the Greek word proteios, meaning "first place." In bacterial cells, almost 50% of the dry mass is made up of proteins. [2] Almost all organisms contain proteins. All functions of living organisms are related to proteins and each of their specific functions. [3]

Proteins can be classified based on their functions in the cell:

 1. Enzymatic proteins
      a. Specifically speed up reactions that are endogonic.
      b. This is the largest group of proteins.
      c. Enzymatic proteins are responsible for metabolic related reactions in cells.
      d. Examples:
          1) Digestive enzymes catalyze the hydrolysis of foods. 
          2)  DNA- and RNA-polymerases
          3)  Dehydrogenases
 2. Structual proteins
      a. Support the shape of the cell.
      b. Maintain the structure in tissues.
      c. Examples:
          1) Collagen is a type of fibrous framework that makes up the connective tissues in animals.
          2) Keratin is a type of fibrous proteins that supplements hair, horns, feathers, and skin.
 3. Storage proteins
      a. Store amino acids.
      b. Contain energy that can be released in metabolic reactions
      c. Examples:
          1) Ovalbumin is a protein used as an amino acid source for the developing embryo in egg whites.
          2) The casein protein is a major source of amino acid for baby mammals in milk.
 4. Transport proteins
      a. Transport substances.
      b. Examples:
          1) Hemoglobin is a protein of verebrate blood that carries oxygen from the lungs to other parts of the body.
          2) Membrane protein attaches to the membrane of the cell, transporting substances that are unable to cross the membrane themselves.
 5. Hormonal proteins
      a. Regulate an organism's activities.
      b. Can be classified as peptides because they are usually small
      b. Examples: 
          1) Insulin is a hormone secreted by the pancreas that sends signals to the cells to regulate the concentration of sugar in the blood steam for vertebrates.
 6. Receptor proteins
      a. Response of cell to stimuli from chemicals, neighboring cells, etc.
      b. Examples:
          1) Receptors that are attached to cell membranes detect signals from hormonal proteins.
 7. Contractile and motor proteins
      a. Involved in the movement of organelles
      b. Examples:
          1) Actin regulates the contraction of muscles
          2) Cilia is responsible for the movement of organelles
 8. Defensive proteins
      a. Protect against foreign substances in the body.
      b. Examples:
          1) Antibodies.
 9. Motor Proteins
      a. Convert chemical energy to mechanical energy to facilitate movement
      b. Examples:
           1) Actin and myosin are the proteins within muscles that help in movement.
           2) Microtubules help move organelles within the cell, and chromosomes [4]


Amino acids are organic molecules that contain a carboxyl and amino groups attaching an alpha carbon as the center. The alpha carbon also contains other various groups symbolized by R and a hydrogen. The R groups are usually called the side chain and they differ for each amino acid.

Amnio acids includes the following:

 1.  Glycine (Gly or G)
      - Nonpolar
      - Smallest R group with only a hydrogen atom
      - evolutionary conserves because most other R group cannot fit into the small space
      - alpha carbon is achiral
 2.  Alanine (Ala or A)
      - Nonpolar/aliphatic
      - R group is a methyl
      - alpha carbon is chiral
 3.  Valine (Val or V)
      - Nonpolar/aliphatic
      - alpha carbon is chiral
 4.  Leucine (Leu or L)
      - Nonpolar/aliphatic
      - alpha carbon is chiral
 5.  Isoleucine (Ile or I)
      - Nonpolar/aliphatic
      - alpha carbon is chiral
 6.  Methionine (Met or M)
      - Nonpolar
      - Sulfur containing
      - alpha carbon is chiral
      - First amino acid of proteins
 7.  Phenylalanine (PHe or F)
      - Nonpolar
      - Aromatic
      - alpha carbon is chiral
 8.  Tryptophan (Trp or W)
      - Nonpolar
      - Aromatic
      - alpha carbon is chiral
 9.  Proline (Pro or P)
      - Nonpolar
      - Cyclic
      - alpha carbon is achiral
 10. Serine (Ser or S)
      - Polar
      - Hydroxy containing
      - alpha carbon is chiral
 11. Threonine (Thr or T)
      - Polar    
      - Hydroxy containing
      - alpha carbon is chiral
 12. Cysteine (Cys or C)
      - Polar
      - Thiol containing
      - alpha carbon is chiral
 13. Tyrosine (Tyr or Y)
      - Polar
      - Aromatic
      - Hydroxy containing
      - alpha carbon is chiral
 14. Asparagine (Asn or N)
      - Polar
      - Amide
      - alpha carbon is chiral
 15. Glutamine (Gln or Q)      
      - Polar
      - Amide
      - alpha carbon is chiral
 16. Aspartic acid (Asp or D)
      - Electrically charged (Acidic)
      - alpha carbon is chiral
 17. Glutamic acid (Glu or E)
      - Electrically charged (Acidic)
      - alpha carbon is chiral
 18. Lysine (Lys or K)
      - Electrically charged (Basic)
      - alpha carbon is chiral
 19. Arginine (Arg or R)
      - Electrically charged (Basic)
      - alpha carbon is chiral
 20. Histidine (His or H)
      - Electrically charged (Basic)
      - alpha carbon is chiral

A proteins consist of one or more polypeptides. Polypeptides consist of different level of structures.

 1) Primary structure
     - the unique sequence of an amino acid
 2) Secondary structure
     - hydrogen bonds interact between polypeptide backbones.
     - polypeptides can fold into structures such as alpha helix, beta pleated sheet, etc.
 3) Tertiary structure
     - hydrophobic interaction and disulfide bridges formed between side chains of polypeptides
 4) Quaternary structure
     - overall protein stuctures consist of two or more polypeptide chains that combine into one functional macromolecule.

Carbohydrates

Carbohydrates are the most abundant biological molecules found in organisms and are responsible for the storage and transport of energy, such as starch and glycogen, and structural components, like cellulose in plants or chitin in animals.

Carbohydrates are classes of macromolecules - large polymers built from monomers. Carbohydrates include both sugars and polymers of sugars. The simplest carbohydrates are monosaccharides, also known as simple sugars. Another group of carbohydrates are the disaccharides, which are created by joining together two monosaccharides by a covalent bond. Polysaccharides consist of many monosaccharides used as building blocks.[5]

 1. Monosaccharides
     a. simple sugar with general formulas, (CH2O)n
     b. the most common monosaccharide is glucose
     c. the molecule contains a carbonyl group and many hydroxyl groups attached to the carbon atom
     d. a monosaccharide can either be an aldose (sugar with an aldehyde) or a ketose (sugar with a ketone) depending on the location of the carbonyl group
     e. monosaccharide can be categorized by the number of carbon on the chain starting with carbon 3
 2. Disaccharide
     a. two monosaccharides join together through a glycosidic linkage - a covalent bond that can be formed by a dehydration reaction
     b. examples:
          1) maltose - two molecules of glucose joined together
          2) sucrose - a molecule of glucose joined with a molecule of fructose
 3. Polysaccharides
     a. polysaccharides are polymers of multiple monosaccharides joined by glycosidic linkages
     b. some polysaccharides are storage materials and some are structural

Storage polysaccharides

 1. storage polysaccharides store sugar for later use
 2. usually joined by 1-4 linkages of alpha glucose monomers
 3. usually form a helical shape
 4. starch
     a. a storage polysaccharide found  in plants that is joined by glucose monomers
     b. the simplest form of starch is unbranched amylose
     c. a more complex form of starch is branched amylopectin
 5. glycogen
     a. a storage polysaccharide in animals that is joined by glucose monomers
     b. an amylopectin-like polymer but contains more branches
     c. mainly stored in the liver and muscle cells

Structural polysaccharides

 1. structural polysaccharides usually give protection to the cell as a form of membrane
 2. usually joined by 1-4 linkages of beta glucose monomers
 3. usually form beta sheets
 4. cellulose
     a. major components of cell walls in plants
     b. cellulose is unbranched
     c. hydroxyl groups on the glucose are able to interact with other hydroxyl groups on other molecules to form hydrogen bonds
     d. cellulose molecules are grouped into units called microfibrils. 
     e. humans are unable to digest cellulose

Lipids

Lipids are the most diverse group of biochemicals. Structurally, the lipids' primary function is to be part of biological membranes, such as the cell membrane, or as a source of energy in organisms. Another major class of lipids that is produced in cells are steroids, such as cholesterol.

Lipids are grouped together by their hydrophobic behavior - meaning they mix poorly with water. Lipid consist mostly hydrocarbons.

Different kinds of lipid include the following:

 1. Fats
     a. fats consist of a glycerol and three fatty acids, which are constructed from hydrocarbons and the carbon at one end containing a carboxyl group.
     b. the fatty acids are joined to the glycerol by an ester linkage.
     c. saturated fats are fats that do not contain any double bond on the hydrocarbon chain
     d. unsaturated fats are fats that contain double bonds on different positions of the hydrocarbon chain
          1) most double bonds in the hydrocarbon chain are cis- double bonds
          2) trans fats contain trans-double bonds
 2. Phospholipids
     a. phospholipids consist of a glycerol, two fatty acids and a phosphate group attached to an alcohol group
     b. phospholipids consist of a hydrophilic head and a hydrophobic tail
     c. phospholipids make up the lipid bilayer in the cell membranes
          1) hydrophobic tails dislike water and try to get away from water by getting as close as possible to other hydrophobic tails
          2) hydrophilic heads like contact with water and act as protection for the hydrophobic tails in the bilayer
 3. Steroids
     a. steroids consist of four fused ring skeletons
     b. different steroids consist of the steroid skeleton and other chemical groups attached to it
     c. example
          1) cholesterol
               a) common component of animal cell membranes
 4. Glycolipid
     a. glycolipids consist of a fatty acid unit and a sugar unit
     b. derive from sphingosine
     c. simplest glycolipid is cerebroside
     d. a more complex glycolipid is ganglioside


References

  1. Biochemistry 6th edition. Berg, Jeremy M; Tymoczko, John L; Stryer, Lubert. W.H. Freeman Company, New York
  2. http://www.proteincrystallography.org/protein/
  3. http://www.proteincrystallography.org/protein/
  4. http://www.cytochemistry.net/cell-biology/microtub.htm
  5. Microbiology. Spencer (Teacher Assistant). Microbiology 120 Lecture. 11/6/12.

Slonczewski, Joan L. Microbiology. 2nd ed. New York, 2009.

This article is issued from Wikibooks. The text is licensed under Creative Commons - Attribution - Sharealike. Additional terms may apply for the media files.