< Structural Biochemistry < Enzyme

Acetylcholinesterase (AChE) is a serine protease found at cholinergic synapses attached to the postsynaptic cleft. Its primary role is to terminate synaptic transmission by hydrolysis of the neurotransmitter Acetylcholine.



Structure and Function

Reverse view of Acetylcholinesterase with the alpha helices in pink and beta sheet in wheat

The structure of Acetylcholinesterase was first determined by J.L. Sussman in 1991 by X-ray analysis. [1] AChE is a 537 amino acid-long peptide monomer capable of hydrolyzing acetylcholine at a rate of 250000 molecules a second. It is composed of a 12-stranded mixed beta sheet surrounded by 14 alpha helices giving it a tertiary structure similar to many hydrolases. The active site is atypical as it “contains Glu, not Asp in theSer-His-acid catalytic triad and because the relation of the triad to the rest of the protein approximates a mirror image of that seen in the serine proteases.” [2] The active site is located in a deep gorge that stretches halfway into the protein. The gorge itself is composed of 14 aromatic residues that help stabilize the quaternary ammonium ion of acetylcholine. AChE is responsible for cleaving acetylcholine into acetate and choline; choline is then transferred back into the presynaptic nerve by choline acetyltransferase where it is resynthesized into acetylcholine by acetyl-CoA. Without AChE, acetylcholine accumulates in the synaptic cleft leading to constant depolarization of the postsynaptic nerve causing the targeted muscle to remain contracted; this has led to targeted development of AChE inhibitors to serve as nerve agents and pesticides.

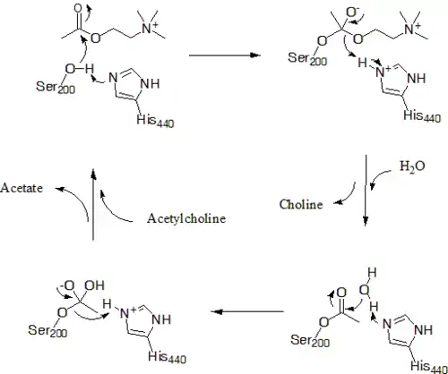
Mechanism

AChE's mechanism for hydrolysis of acetylcholine, not depicted is Glu327 which stabilizes protonation of His440
AChE's mechanism for hydrolysis of acetylcholine, not depicted is Glu327 which stabilizes protonation of His440

Inhibition

Inhibitors of AChE target active Ser-200 and deacylate extremely slowly causing prolonged occupation of the enzyme’s active center and prevent it from hydrolyzing acetylcholine. Organophosphates (OP) and carbamates (CM) are the primary classifications of drugs that irreversibly inhibit AChE. OPs and CMs are frequently found in pesticides; some OPs can also be found in nerve warfare agents. [3] Exposure to OPs or CMs is quickly followed by continuous contraction of affected muscles as acetylcholine neurotransmitter floods the synapse, this results in muscular paralysis, convulsions, and typically death by asphyxiation once the nerve agent has spread to the diaphragm. exposure is typically treated with oximes, however, the drug typically remains intercellularly and is capable of reinhibiting AChE; a primary focus of research is devoted to developing more reactive oximes for faster reactivation of AChE as well as discovering different pathways of reactivation . OPs are particularly lethal because they undergo an additional reaction called aging. Aging is a dealkylation step that results in an anionic phopho-conjugate that is unresponsive to oxime reactivation. [4] The cation produced by aging is stabilized by the same 14 aromatic residues in the lining of the gorge that stabilize acetylcholine's cation.

Inhibition of Acetylcholinesterase by a generic organophosphate
Inhibition of Acetylcholinesterase by a generic organophosphate
Aging of Soman, an organophosphate
Aging of Soman, an organophosphate

Notes

  1. Sussman, J. "Atomic Structure of Acetylcholinesterase from Torpedo Californica: A Prototypic Acetylcholine-binding Protein." Science 253.5022 (1991): 872-79. Print.
  2. Sussman, J. "Atomic Structure of Acetylcholinesterase from Torpedo Californica: A Prototypic Acetylcholine-binding Protein." Science 253.5022 (1991): 872-79. Print.
  3. Cochran, Rory. Oxime-assisted Acetylcholinesterase Catalytic Scavengers of Organophosphates That Resist Aging” The Journal of Biological Chemistry Vol. 286, NO. 34, pp. 29718-29724, August 26, 2011
  4. Cochran, Rory. Oxime-assisted Acetylcholinesterase Catalytic Scavengers of Organophosphates That Resist Aging” The Journal of Biological Chemistry Vol. 286, NO. 34, pp. 29718-29724, August 26, 2011
This article is issued from Wikibooks. The text is licensed under Creative Commons - Attribution - Sharealike. Additional terms may apply for the media files.