< A-level Chemistry < OCR (Salters)

The penicillin nucleus

The pharmacophore (part of a molecule that confers pharmacological activity) of penicillins is called the penicillin nucleus. It contains a β-lactam ring.

The β-lactam ring

The penicillin nucleus found in all penicillins contains a so-called β-lactam ring. This is a four-membered cyclic amide that is unstable in acidic or alkaline conditions. The small ring is under a great deal of strain, making the normally unreactive amide group more susceptible to hydrolysis, resulting in ring-opening to form open-chain compounds.

β-lactamase inhibitors

β-Lactamase is an enzyme produced by certain penicillin-resistant bacteria. It inactivates penicillin antibiotics by disrupting their β-lactam ring. Once way to protect penicillins against β-lactamase is to modify their side chains − methicillin and flucloxacillin are examples of penicillins whose side chains make them β-lactamase resistant. Another tactic is to protect vulnerable penicillins with a β-lactamase inhibitor. These compounds, such as clavulanic acid, are not antibiotics, but they allow penicillin antibiotics to do their job by inhibiting β-lactamase.

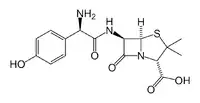
Table of penicillins

Name R group in side-chain Natural/semi-synthetic Uses/properties Skeletal formula 3D model
benzylpenicillin
penicillin G
natural general infections, gonorrhoea and syphilis
flucloxacillin semi-synthetic controlling resistant Staphylococcus
penicillin F natural not used commercially
penicillin X natural not used commercially
penicillin K natural not used commercially
penicillin V natural and semi-synthetic general infections, ear, nose and throat
methicillin semi-synthetic controlling resistant Staphylococcus
ampicillin semi-synthetic lung and wound infections
amoxycillin semi-synthetic lung and urinary tract infections
carbenicillin semi-synthetic pneumonia, burns
This article is issued from Wikibooks. The text is licensed under Creative Commons - Attribution - Sharealike. Additional terms may apply for the media files.