498
POPULAR SCIENCE MONTHLY
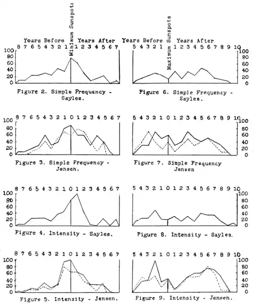
4. The year preceding that of minimum spots.
5. The year of minimum spots.
6. The year succeeding that of minimum spots.
7. An intermediate period of increasing number of spots,—average length about 11⁄2 years.

Figs. 2–9. The relative Frequency and Intensity of Seismic and volcanic Phenomena at Periods of Sunspot Minima (2–5) and Maxima (6–9). The numerals above the diagrams indicate years, those on the sides, percentages. In the diagrams compiled from Jensen's data the full lines indicate seismic phenomena, and the dotted lines volcanic phenomena.
8. The year preceding that of maximum spots.
The irregular periods numbered 3 and 7 are necessary because of the variation of the length of the sun-spot cycle. Number 3 may vary in length from 1 to 7 years, and number 7 from 0 to 3.