EFFECTS OF IMMIGRATION ON HOMICIDE
167
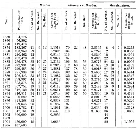
Table III.

by Fig. 4, murders were far less frequent in proportion to population in eastern cities than they are now. In the west the reverse is true, because the immigration from southern Europe has had little influence on the growth of Pacific coast cities. In Los Angeles, where the proportion of native born of native whites is exceeded by only four cities (of 100,000 or over) in the United States, the ratio of arrests for homicide has greatly diminished, falling from 13.88 per 100,000 of inhabitants in 1890, to an annual average of 4.86 during the four years 1901-04.
Passing now to the Atlantic seaboard, we find in the city of Newark, New Jersey, a conspicuous example of the effect of immigration on homicide in a city which owes much of its recent growth to alien settlers. In 1900, 29 per cent, of Newark's population was foreign born, the foreign-born Italians alone numbering 8,537, since which year this element of her population has greatly increased.
In 1880, when the Italian population of Newark was very small, the ratio of arrests for homicide was but 1.46 per 100,000 of inhabitants; in 1890 the ratio was even lower, being 1.10 per 100,000 of