Find the Length of the Hypotenuse
Find the Distance Between Two Points
Find the Slope of a Line
Find the Perpendicular Bisector of Two Points
Graph a Parabola
Find the Vertex of a Quadratic Equation
2 Simple Ways to Calculate the Angle Between Two Vectors
Graph an Equation
Use the Pythagorean Theorem
Use Distance Formula to Find the Length of a Line
Find the Magnitude of a Vector
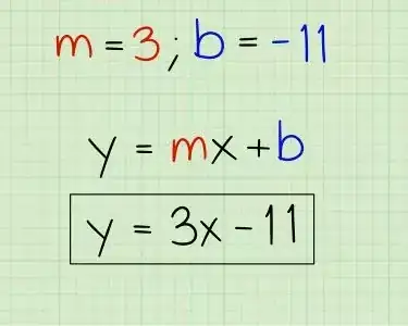
Find the Equation of a Line
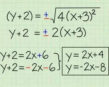
Find the Equations of the Asymptotes of a Hyperbola
Find the Equation of a Perpendicular Line Given an Equation and Point
Download from Figma
Find the Equation of a Perpendicular Line
Make a Scatter Plot
Graph Points on the Coordinate Plane
Find Vertical Asymptotes of a Rational Function
Add or Subtract Vectors
Calculate the Cross Product of Two Vectors
Find the Midpoint of a Line Segment
Find the Slope of a Line Using Two Points
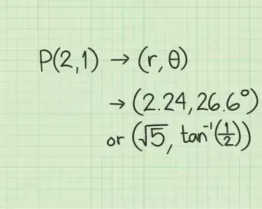
Plot Polar Coordinates
Resolve a Vector Into Components
Graph an Ellipse
Quickly Determine the Equation of a Straight Line in a Graph