Nuclear Reactors
Since the discovery of radioactivity it was known that heavy nuclei release energy in the processes of spontaneous decay. This process, however, is rather slow and cannot be influenced (speed up or slow down) by humans and therefore could not be effectively used for large-scale energy production. Nonetheless, it is ideal for feeding the devices that must work autonomously in remote places for a long time and do not require much energy. For this, heat from the spontaneous-decays can be converted into electric power in a radioisotope thermoelectric generator. These generators have been used to power space probes and some lighthouses built by Russian engineers. Much more effective way of using nuclear energy is based on another type of nuclear decay which is considered next.
Chain reaction
The discovery that opened up the era of nuclear energy was made in 1939 by German physicists O. Hahn, L. Meitner, F Strassmann, and O. Frisch. They found that a uranium nucleus, after absorbing a neutron, splits into two fragments. This was not a spontaneous but induced fission
|
(15.4) |
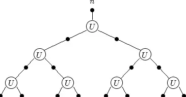
that released MeV of energy as well as two neutrons which could cause similar reactions on surrounding nuclei. The fact that instead of one initial neutron, in the reaction (15.4) we obtain two neutrons, is crucial. This gives us the possibility to make the so-called chain reaction schematically shown in Fig. 15.4.
![]() |
In such process, one neutron breaks one heavy nucleus, the two released neutrons break two more heavy nuclei and produce four neutrons which, in turn, can break another four nuclei and so on. This process develops extremely fast. In a split of a second a huge amount of energy can be released, which means explosion. In fact, this is how the so-called atomic bomb works.
Can we control the development of the chain reaction? Yes we can! This is done in nuclear reactors that produce energy for our use. How can it be done?
Critical mass
First of all, if the piece of material containing fissile nuclei is too small, some neutrons may reach its surface and escape without causing further fissions. For each type of fissile material there is therefore a minimal mass of a sample that can support explosive chain reaction. It is called the critical mass. For example, the critical mass of is approximately 50 kg. If the mass is below the critical value, nuclear explosion is not possible, but the energy is still released and the sample becomes hot. The closer mass is to its critical value, the more energy is released and more intensive is the neutron radiation from the sample.
The criticality of a sample (i.e. its closeness to the critical state) can be reduced by changing its geometry (making its surface bigger) or by putting inside it some other material (boron or cadmium) that is able to absorb neutrons. On the other hand, the criticality can be increased by putting neutron reflectors around the sample. These reflectors work like mirrors from which the escaped neutrons bounce back into the sample. Thus, moving in and out the absorbing material and reflectors, we can keep the sample close to the critical state.
How a nuclear reactor works
In a typical nuclear reactor, the fuel is not in one piece, but in the form of several hundred vertical rods, like a brush. Another system of rods that contain a neutron absorbing material (control rods) can move up and down in between the fuel rods. When totally in, the control rods absorb so many neutrons, that the reactor is shut down. To start the reactor, operator gradually moves the control rods up. In an emergency situation they are dropped down automatically.
To collect the energy, water flows through the reactor core. It becomes extremely hot and goes to a steam generator. There, the heat passes to water in a secondary circuit that becomes steam for use outside the reactor enclosure for rotating turbines that generate electricity.
Nuclear power in South Africa
By 2004 South Africa had only one commercial nuclear reactor supplying power into the national grid. It works in Koeberg located 30 km north of Cape Town. A small research reactor was also operated at Pelindaba as part of the nuclear weapons program, but was dismantled.
Koeberg Nuclear Power station is a uranium Pressurized Water Reactor (PWR). In such a reactor, the primary coolant loop is pressurised so the water does not boil, and heat exchangers, called steam generators, are used to transmit heat to a secondary coolant which is allowed to boil to produce steam. To remove as much heat as possible, the water temperature in the primary loop is allowed to rise up to about C which requires the pressure of 150 atmospheres (to keep water from boiling).
The Koeberg power station has the largest turbine generators in the southern hemisphere and produces 1800 megawatts of electrical power. Construction of Koeberg began in 1976 and two of its Units were commissioned in 1984-1985. Since then, the plant has been in more or less continuous operation and there have been no serious incidents.
Eskom that operates this power station, may be the current technology leader. It is developing a new type of nuclear reactor, a modular pebble-bed reactor (PBMR). In contrast to traditional nuclear reactors, in this new type of reactors the fuel is not assembled in the form of rods. The uranium, thorium or plutonium fuels are in oxides (ceramic form) contained within spherical pebbles made of pyrolitic graphite. The pebbles, having a size of a tennis ball, are in a bin or can. An inert gas, helium, nitrogen or carbon dioxide, circulates through the spaces between the fuel pebbles. This carries heat away from the reactor.
Ideally, the heated gas is run directly through a turbine. However since the gas from the primary coolant can be made radioactive by the neutrons in the reactor, usually it is brought to a heat exchanger, where it heats another gas, or steam.
The primary advantage of pebble-bed reactors is that they can be designed to be inherently safe. When a pebble-bed reactor gets hotter, the more rapid motion of the atoms in the fuel increases the probability of neutron capture by U isotopes through an effect known as Doppler broadening. This isotope does not split up after capturing a neutron. This reduces the number of neutrons available to cause U fission, reducing the power output by the reactor. This natural negative feedback places an inherent upper limit on the temperature of the fuel without any operator intervention.
The reactor is cooled by an inert, fireproof gas, so it cannot have a steam explosion as a water reactor can.
A pebble-bed reactor thus can have all of its supporting machinery fail, and the reactor will not crack, melt, explode or spew hazardous wastes. It simply goes up to a designed "idle" temperature, and stays there. In that state, the reactor vessel radiates heat, but the vessel and fuel spheres remain intact and undamaged. The machinery can be repaired or the fuel can be removed.
A large advantage of the pebble bed reactor over a conventional water reactor is that they operate at higher temperatures. The reactor can directly heat fluids for low pressure gas turbines. The high temperatures permit systems to get more mechanical energy from the same amount of thermal energy.
Another advantage is that fuel pebbles for different fuels might be used in the same basic design of reactor (though perhaps not at the same time). Proponents claim that some kinds of pebble-bed reactors should be able to use thorium, plutonium and natural unenriched Uranium, as well as the customary enriched uranium. One of the projects in progress is to develop pebbles and reactors that use the plutonium from surplus or expired nuclear explosives.
On June 25, 2003, the South African Republic's Department of Environmental Affairs and Tourism approved ESKOM's prototype 110MW pebble-bed modular reactor for Koeberg. Eskom also has approval for a pebble-bed fuel production plant in Pelindaba. The uranium for this fuel is to be imported from Russia. If the trial is successful, Eskom says it will build up to ten local PBMR plants on South Africa's seacoast. Eskom also wants to export up to 20 PBMR plants per year. The estimated export revenue is 8 billion rand a year, and could employ about 57000 people.
