Khan Academy (English - US curriculum)
Math
AP®︎ Calculus BC
Differentiation: definition and basic derivative rules
Derivatives of cos(x), sin(x), 𝑒ˣ, and ln(x)
Derivatives of cos(x), sin(x), 𝑒ˣ, and ln(x)
Derivatives of sin(x) and cos(x)
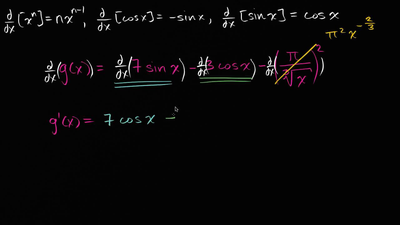
Worked example: Derivatives of sin(x) and cos(x)
Derivatives of sin(x) and cos(x)
Derivative of 𝑒ˣ
Derivative of ln(x)
Derivatives of 𝑒ˣ and ln(x)