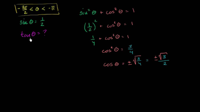
The Pythagorean identity

Prove the Pythagorean trigonometric identity for all real numbers and use it in order to solve problems.