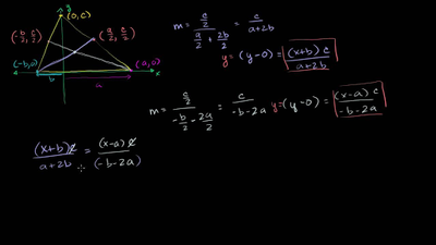
Topic E: Proving properties of geometric figures