Khan Academy (English - US curriculum)
Math
Algebra 1
Quadratic functions & equations
More on completing the square
More on completing the square
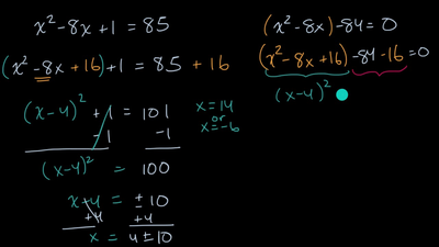
Solve by completing the square: Integer solutions
Solve by completing the square: Non-integer solutions
Solve equations by completing the square
Worked example: completing the square (leading coefficient ≠ 1)
Completing the square
Solving quadratics by completing the square: no solution
Proof of the quadratic formula