Khan Academy (English - US curriculum)
Math
AP®︎ Calculus BC
Applications of integration
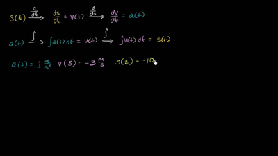
Connecting position, velocity, and acceleration functions using integrals
Connecting position, velocity, and acceleration functions using integrals
Motion problems with integrals: displacement vs. distance
Analyzing motion problems: position
Analyzing motion problems: total distance traveled
Analyzing motion problems (integral calculus)
Worked example: motion problems (with definite integrals)
Motion problems (with integrals)
Average acceleration over interval