Khan Academy (English - US curriculum)
Math
AP®︎ Calculus BC
Parametric equations, polar coordinates, and vector-valued functions
Finding arc lengths of curves given by parametric equations
Finding arc lengths of curves given by parametric equations
Parametric curve arc length
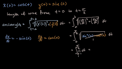
Worked example: Parametric arc length
Parametric curve arc length