Khan Academy (English - US curriculum)
Math
Pre-algebra
Two-variable equations
Writing slope-intercept equations
Writing slope-intercept equations
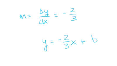
Slope-intercept equation from graph
Slope-intercept equation from graph
Slope-intercept equation from slope & point
Slope-intercept equation from two points
Slope-intercept from two points
Slope-intercept form problems
Slope-intercept form from a table