Khan Academy (English - US curriculum)
Math by grade
Eureka Math/EngageNY
Algebra 2 (Eureka Math/EngageNY)
Module 1: Polynomial, rational, and radical relationships
Topic B: Lessons 12-13: Factorization
Topic B: Lessons 12-13: Factorization
Factoring quadratics: common factor + grouping
Factoring quadratics: negative common factor + grouping
Factor polynomials: quadratic methods
Factoring two-variable quadratics
Factoring two-variable quadratics: rearranging
Factoring two-variable quadratics: grouping
Factor polynomials: quadratic methods (challenge)
Factoring using the perfect square pattern
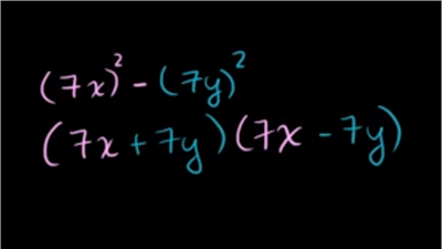
Factoring using the difference of squares pattern
Factoring difference of squares: two variables (example 2)
Factor polynomials using structure
Factoring higher-degree polynomials
Factoring sum of cubes
Factoring difference of cubes
Finding zeros of polynomials (1 of 2)
Finding zeros of polynomials (2 of 2)
Finding zeros of polynomials (example 2)
Zeros of polynomials (with factoring)