Khan Academy (English - US curriculum)
Math
AP®︎ Calculus BC
Applications of integration
Volume with washer method: revolving around x- or y-axis
Volume with washer method: revolving around x- or y-axis
Solid of revolution between two functions (leading up to the washer method)
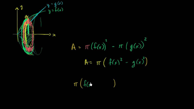
Generalizing the washer method
Washer method: revolving around x- or y-axis