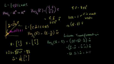
In this tutorial, we do several examples of actually constructing transformation matrices. Very useful if you've got some actual transforming to do (especially scaling, rotating and projecting) ;)