Khan Academy (English - US curriculum)
Math
AP®︎ Calculus BC
Differentiation: composite, implicit, and inverse functions
Selecting procedures for calculating derivatives: multiple rules
Selecting procedures for calculating derivatives: multiple rules
Differentiating using multiple rules: strategy
Differentiating using multiple rules: strategy
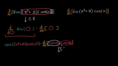
Applying the chain rule and product rule
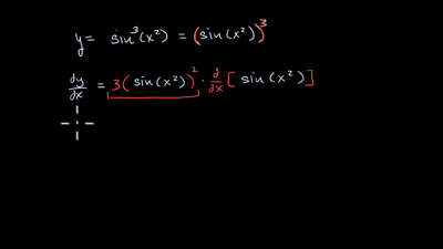
Applying the chain rule twice
Derivative of eᶜᵒˢˣ⋅cos(eˣ)
Derivative of sin(ln(x²))
Differentiating using multiple rules