Khan Academy (English - US curriculum)
Math
AP®︎ Calculus AB
Integration and accumulation of change
Integrating using substitution
Integrating using substitution
𝘶-substitution intro
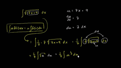
𝘶-substitution: multiplying by a constant
𝘶-substitution: defining 𝘶
𝘶-substitution: defining 𝘶 (more examples)
𝘶-substitution: defining 𝘶
𝘶-substitution: rational function
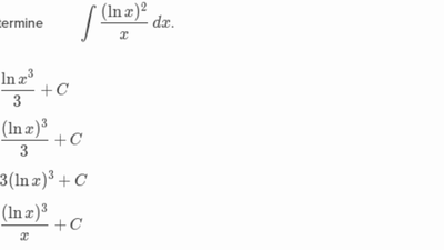
𝘶-substitution: logarithmic function
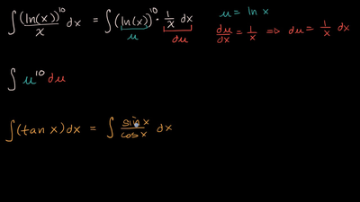
𝘶-substitution: indefinite integrals
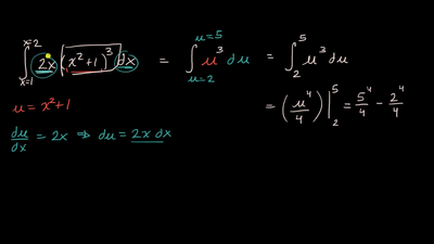
𝘶-substitution: definite integrals
𝘶-substitution: definite integrals
𝘶-substitution: definite integral of exponential function