Khan Academy (English - US curriculum)
Math
Algebra 1
Forms of linear equations
Writing slope-intercept equations
Writing slope-intercept equations
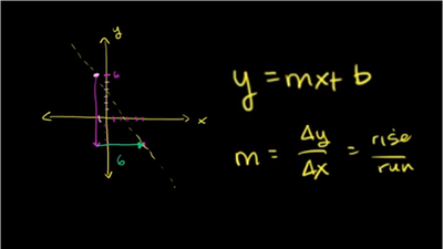
Slope-intercept equation from graph
Slope-intercept equation from graph
Slope-intercept equation from slope & point
Slope-intercept equation from two points
Slope-intercept from two points
Constructing linear equations from context
Writing linear equations word problems