Khan Academy (English - US curriculum)
Math
AP®︎ Calculus BC
Differentiation: definition and basic derivative rules
Applying the power rule
Applying the power rule
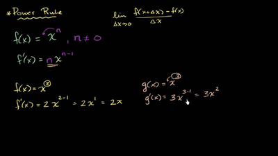
Power rule
Power rule (positive integer powers)
Power rule (negative & fractional powers)
Power rule (with rewriting the expression)
Power rule (with rewriting the expression)