Khan Academy (English - US curriculum)
Math by grade
Eureka Math/EngageNY
Algebra 2 (Eureka Math/EngageNY)
Module 1: Polynomial, rational, and radical relationships
Topic C: Lesson 24: Multiplying and dividing rational expressions
Topic C: Lesson 24: Multiplying and dividing rational expressions
Multiplying & dividing rational expressions: monomials
Multiply & divide rational expressions: Error analysis
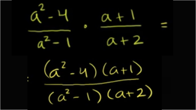
Multiplying rational expressions
Dividing rational expressions
Multiply & divide rational expressions
Multiplying rational expressions: multiple variables
Dividing rational expressions: unknown expression
Multiply & divide rational expressions (advanced)