Khan Academy (English - US curriculum)
Math
Get ready for Algebra 2
Get ready for equations
Equivalent systems of equations and the elimination method
Equivalent systems of equations and the elimination method
Why can we subtract one equation from the other in a system of equations?
Elimination strategies
Combining equations
Elimination strategies
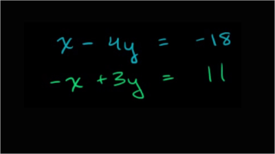
Systems of equations with elimination: x-4y=-18 & -x+3y=11
Systems of equations with elimination
Systems of equations with elimination (and manipulation)
Worked example: equivalent systems of equations
Worked example: non-equivalent systems of equations
Reasoning with systems of equations