Khan Academy (English - US curriculum)
Math
AP®︎ Calculus BC
Infinite sequences and series
Alternating series error bound
Alternating series error bound
Alternating series remainder
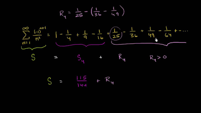
Worked example: alternating series remainder
Alternating series remainder