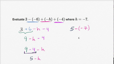
Topic C: Applying operations with rational numbers to expressions and equations

Topic C includes lessons 17-23 and covers comparing tape diagram solutions to algebraic solutions, writing, evaluating, and finding equivalent expressions with rational numbers, investments—performing operations with rational numbers, if-then moves with integer number cards, and solving equations using algebra.(Currently, we do not have content for Lessons 17 and 22.)